2주차 1강 - 9월 9일 월요일, Lexical Analysis
<개인 공부용으로 정리하는 것입니다. 정확한 내용은 본인이 공부하는 교재를 꼭 참고하시기 바랍니다.>
1. String Recognition using Finite Automata
- Finite Automata
- 정의: yes or no를 return하는 string recognizer
- 이 string에 accept 가능한가? 아닌가?를 판별한다.
- 종류
- Non-deterministic Finite Automata(NFA)
- Deterministic Finite Automata(DFA)
- 정의: yes or no를 return하는 string recognizer
2. Possibility of Correct String Recognition

- 문자열 s, 패턴 R
- 문자열 s가 어떤 Finite Automata에 속하는지 확인하고 싶다.즉, s가 L(R)에 존재하는지 확인하고자 한다.
- 패턴 R을 인식하는 Finite Automata를 찾고, L(R)과 L(FA)가 동일한지 확인해야 한다.
- 만약 L(R)!=L(FA)라면 올바르지 않은 문법을 유효하다고 인식하거나, 올바른 문법을 틀렸다고 인식할 수 있다.
- [질문] 그렇면, 주어진 R에 대해 L(R)=L(FA)인 FA가 존재하는가? 즉, 항상 올바른 result를 내는 lexer가 존재하는가?
- [답] "그렇다" by. Kleene's Theorem
- Kleene's Theroem: 모든 regex(정규언어)는 DFA와 NFA로 표현될 수 있다.
- 따라서, 원하는 패턴을 정확하게 처리할 수 있는 FA가 존재함을 보장한다.
- 정규식으로 정의된 언어는 항상 DFA나 NFA로 인식할 수 있으므로, 패턴 R을 처리하는 FA의 result는 항상 옳다.
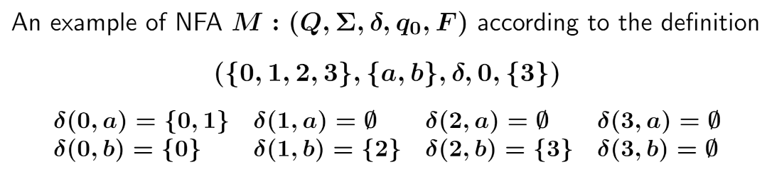
3. Non-deterministic Finite Automata (NFA)

- 정의
- Q: state의 유한 집합.
- Σ : Alphabet. input symbol의 유한 집합. ε (빈 문자열)을 포함하지 않음.
- q₀ : 초기 state(시작 state)
- F: 최종 state(accepting state, 여기에 도달하면 이 string은 인식 가능한 문자열)
- δ : 현재 상태와 입력 기호 (또는 ε)를 받아서 다음 가능한 상태들의 집합을 반환
- 하나의 state에서 갈 수 있는 state가 여러 개임(NFA의 특징)
- 2^Q는 상태 집합의 부분집합, NFA가 여러 상태로 전이할 수 있음을 나타냄
- δ:Q×(Σ∪{ϵ})→2^Q

- 예제
- δ(0, a) = {0, 1}
- δ(current state, input symbol) = {possible next state}
- 현재 state에서 input symbol을 받았을 때 갈 수 있는 다음 state

- 위 상태를 그래프로 표현하면 이렇게 볼 수 있음 (transition graph)

- 그래프를 transition table로도 표현할 수 있다.
- state에서 symbol을 입력받았을 때 갈 수 있는 state를 표현한 것이다.
- 만약 존재하지 않는다면 공집합으로 표시한다.
4. Strings Recognizable by NFA

- NFA로 판별될 수 잇는 string의 집합을 L(NFA)라고 한다.
- 예시에서 보이는 NFA는 abb로 끝나는 모든 string을 인식할 수 있다.
[예제] NFA를 보고 Regular Expression 표현하기

첫 번째, a 또는 b loop를 가진 final state 한 개로 구성됨 -> (a|b)*
두 번째, a 또는 b loop를 0 state에서 가지고 있으며, 마지막 문자가 a 또는 b가 되며 final state에 도달함 -> (a|b)*.(a|b)

첫 번째, a가 1개 이상인 문자열이거나, b가 1개 이상인 문자열 이거나 (a+|b+)
두 번째, a가 2의 배수로 반복됨, b가 2의 배수로 반복됨, b로 final state에 도달함 (aa)*(bb)*b

주어진 NFA가 string을 accept하는가 reject하는가
첫 번째, aabb (accept)
state 0에서 a를 받아 state0로 돌아옴, a를 받아 state1로 이동, b를 받아 state2로, b를 받아 state3으로(종료)
두 번째, aa (reject)
state 0에서 a를 받아 state0로, a를 받아 state 1로 -> final state 아님
state 0에서 a를 받아 state0로, a를 받아 state0로 -> final state 아님
5. Deterministic Finite Automata(DFA)
- 특징
- ε 이동이 없음
- 각 state에서 input symbol에 대해 unique한 next state가 존재함. (단 하나의 next state)
- 각 입력에 대해 하나의 고유한 경로를 따르게 됨
- 정의 M=(Q,Σ,δ,q0,F)
- : 유한 상태 집합 (오토마타가 가질 수 있는 모든 상태의 집합)
- : 입력 기호 집합 (input alphabet)
- : 전이 함수, transaction function, δ:Q×Σ→Q
- 각 state의 input symbol에 대한 next state를 unique하게 결정
- : 초기 상태로, q0∈Q
- : 최종 상태 집합으로, F⊆Q
[예제]

난 보통 풀 때 final state로 가는 흐름을 중심으로 본다 (왼쪽에서 오른쪽 순으로 보기)
1. state 0 -> 1 -> 2 -> 3으로 가는 경로에서 a b b가 존재한다 = string이 abb로 끝나야 한다
2. state 0에서 b loop가 존재함 -> b*를 인식할 수 있음
3. state 1에서 a loop가 존재함 -> a*를 인식할 수 있음
4. (a | b)* 후에 abb로 종료되는 형태의 string을 인식함
5. (a | b)*abb

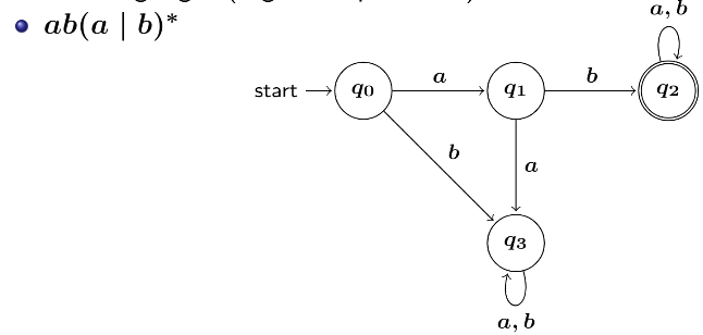
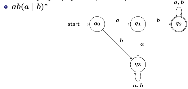
1. state 0 -> 1 -> 2 흐름 보면 ab, ab를 포함해야 함
2. final state에서 a,b loop -> (a|b)*를 accept
3. ab(a|b)*

1. state 0 -> 1-> 2 흐름, 01, 01을 포함해야 함
2. q0의 1 loop -> 1*
3. q1의 0 loop -> 0*
4. (0 | 1)*01
6. String Recognition using DFA

첫 번째, aabb
1. state 0 -> 1로 이동하며 a 인식
2. state 1 loop, a 인식
3. state 1->2, b 인식
4. state 2->3, b 인식
5. accept
두 번째, aa
1. state0->1, a 인식
2. state1 loop, a 인식
3. final state 도달 못함
4. reject
7. 왜 DFA를 쓰냐?

- NFA와 DFA 모두 문자열을 인식하는 도구, 그런데 lexer는 왜 DFA에 의존하는가?
- 초기 구성 단계
- NFA: 정규식 크기만큼 시간 복잡도를 가짐. O(|r|)
- 정규식에서 각 연산자와 피연산자를 NFA로 변환하는 과정이 간단함.
- state 수는 정규식의 길이에 비례함
- DFA(일반적인 경우): NFA를 만들고 DFA로 변환하며 오래 걸림 O(|r|^3)
- NFA -> DFA는 subset struction 알고리즘 사용해서 가능한 state 집합 판별함
- 각 집합에 대해 새로운 DFA state를 만들기 때문에 시간이 오래 걸림
- NFA -> DFA는 subset struction 알고리즘 사용해서 가능한 state 집합 판별함
- DFA(최악의 경우): O(2^|r|)
- NFA가 n개의 state 가짐, 해당 state로 만들 수 있는 모든 부분 집합 고려
- 각 state를 넣거나 빼거나? -> 2^|r|
- NFA가 n개의 state 가짐, 해당 state로 만들 수 있는 모든 부분 집합 고려
- NFA: 정규식 크기만큼 시간 복잡도를 가짐. O(|r|)
- 문자열 처리
- NFA: O(|r| x |x|), 입력 문자열의 길이 x와 정규식의 크기를 곱함
- DFA: 문자열의 길이에 비례, O(|x|), 각 문자에 대해 unique state만 존재함
- DFA는 초기 세팅은 오래 걸리지만, 문자열 처리 속도가 빨라 효율적임
8. 요약
- lexical pattern에 대해 어떻게 accept하고 reject하는지 알아봤음
- NFA, DFA의 정의
- NFA, DFA로 string을 어떻게 판별(recognize)하는가
'전공 > 프로그래밍 언어 및 컴파일러' 카테고리의 다른 글
| Lec05. Syntax Analysis (1) - 6주차 1강 (0) | 2024.10.23 |
|---|---|
| Lec-OCaml. Functional Programming in OCaml (4주차 2강, 5주차 1/2강) (0) | 2024.10.23 |
| Lec04. Lexical Analysis (3) (2주차 2강, 4주차 1강/2강) (4) | 2024.10.20 |
| Lec02. Lexical Anaylsis(1) (1주차 2강) (0) | 2024.09.07 |
| Lec01. Overview of Compilers (1주차 1강) (0) | 2024.09.07 |